špeky v excelu (vyřešeno)
Moderátor: Mods_senior
špeky v excelu (vyřešeno)
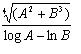
Ahoj mám takovou prosbku potřebuji vytvořit v excelu vzorec v tomto tvaru : je v příloze a ani za boha nemůžu na to přijít, pomůže někdo?
A další problém potřebuju odečíst dva datumy a zjistit dobu mezi nima, neví někdo?
1.1.2002 30.12.2006
díky moc
A další problém potřebuju odečíst dva datumy a zjistit dobu mezi nima, neví někdo?
1.1.2002 30.12.2006
díky moc
- Přílohy
-
- vzorec
- log.JPG (2.12 KiB) Zobrazeno 7053 x
Na první otázku odpověď neznám (excel téměř nepoužívám, vzorcům nerozumím).
Odpověď na druhou otázku je snadná:
2002: 365 dní (včetně 1. ledna)
2003: 365 dní
2004: 366 dní (přestupný rok)
2005: 365 dní
2006: 364 dní (včetně 30. prosince, ale už ne 31. prosince)
--------------
= 1825 dní, a to včetně dne prvního i posledního
Odpověď na druhou otázku je snadná:
2002: 365 dní (včetně 1. ledna)
2003: 365 dní
2004: 366 dní (přestupný rok)
2005: 365 dní
2006: 364 dní (včetně 30. prosince, ale už ne 31. prosince)
--------------
= 1825 dní, a to včetně dne prvního i posledního
Vzorec je např.: =+ODMOCNINA(ODMOCNINA(A1*A1+B1*B1*B1))/(LOG(A1)-LN(B1)), problém je ale v tom, že Excel ho v téhle podobě nevím proč odmítá, ale dá se to obejít tak, že v jedný buňce se spočítá čitatel =+ODMOCNINA(ODMOCNINA(A1*A1+B1*B1*B1)), v další buňce se spočítá jmenovatel =+LOG(A1)-LN(B1) a ve třetí buňce se spočítá podíl těch dvou pomocných buněk. A pokud by ten vzorec měl fungovat v nějakým složitějším systému, chtělo by to asi pomocí funkce Když ošetřit případy, které odporují matematice - sudá odmocnina ze záporného čísla, logaritmus nuly nebo záporného čísla a dělení nulou.
Myloš píše:Na první otázku odpověď neznám (excel téměř nepoužívám, vzorcům nerozumím).
Odpověď na druhou otázku je snadná:
2002: 365 dní (včetně 1. ledna)
2003: 365 dní
2004: 366 dní (přestupný rok)
2005: 365 dní
2006: 364 dní (včetně 30. prosince, ale už ne 31. prosince)
--------------
= 1825 dní, a to včetně dne prvního i posledního
díky,ale já to potřebuju početně v excelu jak se odečítají buňky v příloze je celý zadání, je to hrůza a už je tak málo časo
No 4. odmocnina = mocnina na 1/4, takze kdyz A je napr v B5 a B je v C5, pak vzorec, ktery normalne funguje je:
Kód: Vybrat vše
=((B5^2+C5^2)^(1/4))/(LOG10(B5)-LN(C5))
... a co se tyka tech datumu, tak v Excelu existuje funkce =YearFrac, v cestine ted nevim. Jestli ji tam nemas, tak staci jit do menu Tools/Add-ins a tam zaskrtnout Analysis ToolPack a Analysis ToolPack VBA, nebo tak nejak
Ta funkce ti spocita pocet let mezi dvema datumy, coz je presne to, co pro vypocet uroku potrebujes.
Ta funkce ti spocita pocet let mezi dvema datumy, coz je presne to, co pro vypocet uroku potrebujes.
Re: špeky v excelu :-)
migel11 píše:A další problém potřebuju odečíst dva datumy a zjistit dobu mezi nima, neví někdo?
1.1.2002 30.12.2006
zkus se podivat sem:
http://www.cpearson.com/excel/datedif.htm
Re: špeky v excelu :-)
migel11 píše:Ahoj mám takovou prosbku potřebuji vytvořit v excelu vzorec v tomto tvaru : je v příloze a ani za boha nemůžu na to přijít, pomůže někdo?
A další problém potřebuju odečíst dva datumy a zjistit dobu mezi nima, neví někdo?
1.1.2002 30.12.2006
díky moc
pokud jde o to odečíst dvě data v excelu funguje to asi takto základní jednotkou je jeden den 1 odpovídá datu 1.1.1900. Napíšu-li dobuňku 1 a změním-li formát buňky na datum, objeví se 1.1.1900, napíšu-li 2, objeví se 2.1.1900 .Pokud napíšu do buňky A1 datum, do buňky B1 druhé datum, do buňky C1 napíšu = A1-B1 , objeví se nesmyslný výsledek v datovém formátu. změním-li formát buňky na obecný, objeví se výsledek který udává počet dní mezi oběma daty. Formát data je obecně DD.MM.YYYY.HH.MM.SS. zadám-li datum bez času, dosadí se čas 00:00:00 . Tak mohu získat rozdíl v hodinách, vynásobím-li výsledek *24, v hodinách , v minutách *24 *60 , atd.
obecně určování času v Excelu - výpočet stáří podle narození
Dobrý den,
dlouho jsem řešil otázku, jak určit přesné stáří člověka podle data narození. Tady je výsledný vzorec:
Do buňky A1 vložíte datum (formát buňky je datum)
Do buňky B1 vložte následující vzorec: =DATEDIF(A1;DNES();"y") & " roků; " & DATEDIF(A1;DNES();"ym") & " měsíců; " & DATEDIF(A1;DNES();"md") & " dnů"
Výsledek je např.: 0 roků; 6 měsíců; 27 dnů
Pokud chcete jenom roky, umažete koncovou část vzorce.
Nevím, možná to někomu pomůže
Ahoj a díky za dobré fórum!
dlouho jsem řešil otázku, jak určit přesné stáří člověka podle data narození. Tady je výsledný vzorec:
Do buňky A1 vložíte datum (formát buňky je datum)
Do buňky B1 vložte následující vzorec: =DATEDIF(A1;DNES();"y") & " roků; " & DATEDIF(A1;DNES();"ym") & " měsíců; " & DATEDIF(A1;DNES();"md") & " dnů"
Výsledek je např.: 0 roků; 6 měsíců; 27 dnů
Pokud chcete jenom roky, umažete koncovou část vzorce.
Nevím, možná to někomu pomůže
Ahoj a díky za dobré fórum!


